Selamat Datang di Website Dinas Tenaga Kerja Kota Padangsidimpuan

Untuk Lanjut Baca Click Disini

Daftar Peluang Karir/Rekrutmen :

https://rekrutmen.pln.co.id/vacancy/site/index

by admin 30-09-2025

Daftar Peluang Karir/Rekrutmen :

https://rekrutmen.pln.co.id/vacancy/site/index

by admin 22-09-2025

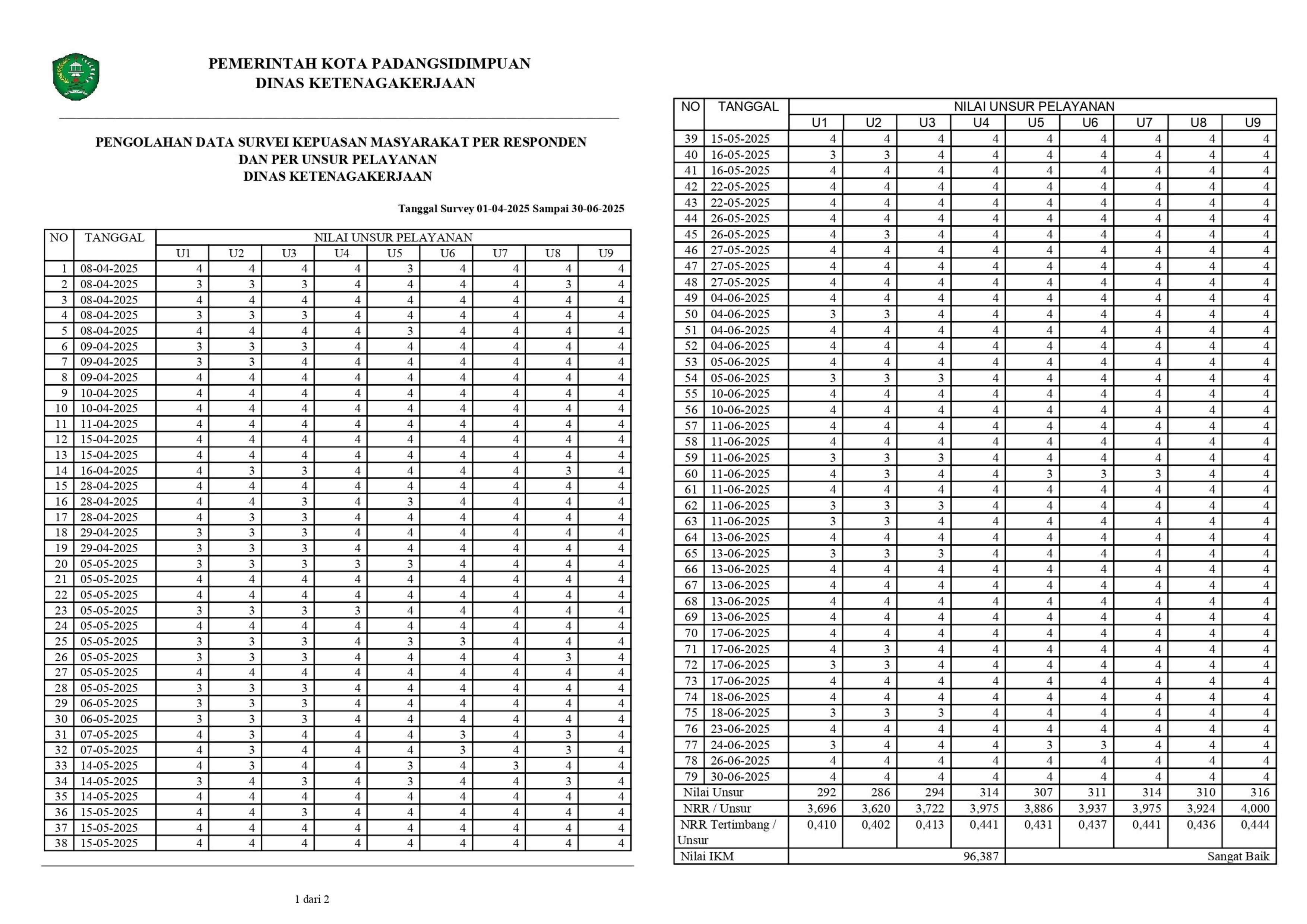
IKM  TW 2

by admin 22-09-2025

IKM TW 1

 

Video

 

 

 

" PENUTUPAN PELATIHAN TATA RIAS TA.2025

 

" PENUTUPAN PELATIHAN KETERAMPILAN TATA BOGA PAKET 3 DI DESA PINTU LANGIT JAE TA.2024

 

" PENUTUPAN PELATIHAN TATA RIAS TA.2024